In what way can polynomials be used to approximate functions?

Functions you may not have encountered before

Consider the function \[c(t)=\frac{t}{t^2+4}.\]

Without a graphing tool, it may be hard to visualize what this function looks like.

Functions you may not have encountered before

Consider the function \[c(t)=\frac{t}{t^2+4}.\]

With a computer, it becomes trivial to even graph this function.

Functions you may not have encountered before

Consider the function \[c(t)=\frac{t}{t^2+4}.\]

So why should we care about this function if a computer is available?

Functions you may not have encountered before

Consider the function \[c(t)=\frac{t}{t^2+4}.\]

To gain insight in real-world cases!

  • Most functions are not as “simple” as \(c(t)\).
  • At some point we may need functions which depend on more than one input.

Functions you may not have encountered before

Consider the function \[c(t)=\frac{t}{t^2+4}.\]

How do we gain insight into the behavior of this function?

  • Use functions that you know very well.
  • In particular, focus on quadratic functions.

Quadratic functions

  • These are polynomials of the form \[P(t)=a_0+a_1 t +a_2t^2.\]

  • How could these polynomials be used to gain insight about \[c(t)=\frac{t}{t^2+4}?\]

  • They seem too different on the surface!

Quadratic functions

  • These are polynomials of the form \[P(t)=a_0+a_1 t +a_2t^2.\]

  • You can make them look similar by being a bit more modest:

    • Work within a small range.
    • Choose \(a_0\), \(a_1\), and \(a_2\) properly.

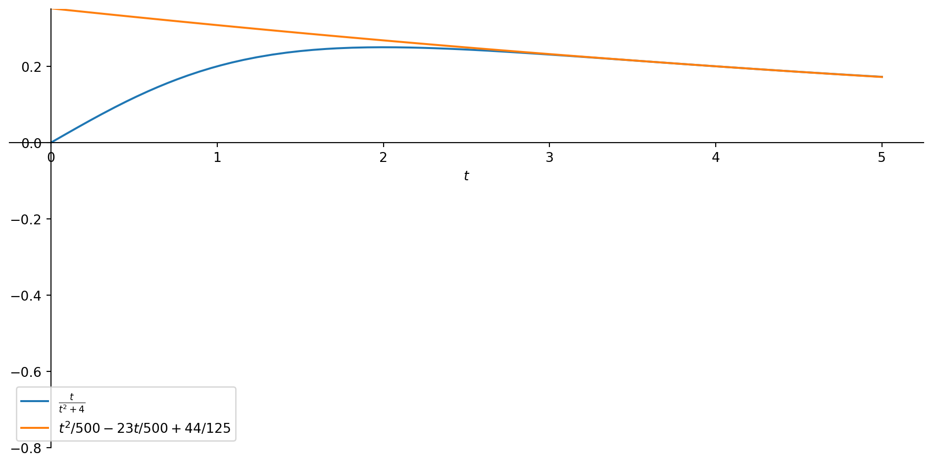
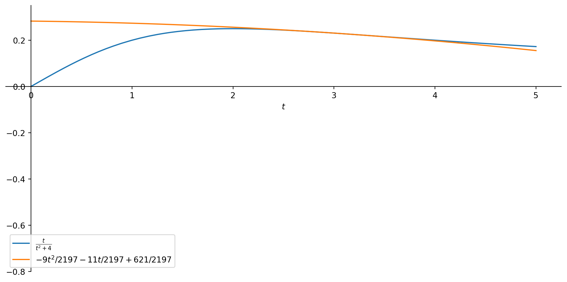
Picture time

Picture time

Picture time

Picture time

How did I get these polynomials?

  • In general, you pick a point where you want to approximate the function. Call this \(t_0\).
  • Next, create the polynomial \[P(t)=\underbrace{c(t_0)}_{a_0}+\underbrace{c^\prime(t_0)}_{a_1}(t-t_0)+\underbrace{\frac{c^{\prime\prime}(t_0)}{2}}_{a_2}(t-t_0)^2 \]

New objects!

  • You need objects which are called derivatives: specifically \(c^{\prime}(t_0)\) and \(c^{\prime\prime}(t_0)\).
  • Why not look into polynomials of degree greater than 2?
  • I am hoping you will join us to try to answer these questions and more in our online course on differential calculus for economic analysis!